论坛>上海交通职业技术学院>上海市材料工程学校>【获奖名单】万圣节特别活动

【获奖名单】万圣节特别活动

2016-10-31 20:21:57


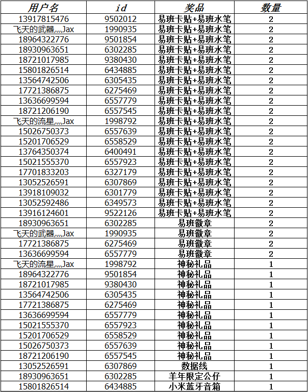
万圣节活动获奖名单下





万圣节又叫诸圣节

在每年的111

是西方的传统节日

而万圣节前夜的1031日是这个节日最热闹的时刻

还有一种说法是

万圣节在1031

1031日的午夜到次日111

持续整整一天

所以

我们也要嗨起来(。・∀・)ノ゙


万圣节特别活动:


每位参与回复的用户必得易班卡贴一张+易班水笔一支(库存100

每晚21:00-21:04回复的用户必得易班定制徽章一个

(库存30

还有10神秘礼品随机抽出

100楼、150楼获得数据线一根(安卓/苹果)

总楼层的10.31%号楼(取整)获得小米蓝牙音箱一个

总楼层的11.1%号楼(取整)获得羊公仔一个

活动时间

即日起至201611521

一个ID连续回复超过5楼算刷屏

(取消领奖资格)



最终解释权归材料易班工作站所有








还能输入140
发表评论,请先登录!
|

正在加载中,请稍等...正在加载中,请稍等...

活动

1/3

话题...

返回顶部
主题管理
置顶
删除
加精华
修改
打气
屏蔽
转发
禁止回复
过户